中心动态 产业动态

川大王延青课题组《Carbon》:无烟煤衍生硬碳负极材料,用于先进钠离子电池

2026-03-26

        1研究背景

        钠离子电池(SIBs)已成为下一代大规模储能系统的有前途的候选者,这得益于地壳中钠资源的丰富性及其显著的成本优势。它们被视为锂离子电池(LIBs)的潜在替代品或补充。然而,钠离子电池的商业化仍面临重大挑战,主要是缺乏兼具高性能与低成本的合适阳极材料。在众多候选材料中,碳基材料因其储量丰富、成本低廉和结构稳定等固有优势,在过去十年中持续受到研究关注。然而,商用石墨阳极(广泛应用于锂离子电池)在与传统酯基电解质配对时,在电化学钠存储方面的效率有限。这一局限性源于钠离子插入过程中热力学驱动力不足和动力学迟缓,这一结论在该领域已得到广泛认可。值得注意的是,以短程有序和长程无序为特征的无序层非晶碳材料,通过扩大层间距显著增强了可逆的钠离子插入/脱出。这些材料表现出巨大的钠存储容量和优异的循环稳定性,使其成为有前途的阳极系统,能够解决当前瓶颈问题,并推动钠离子电池走向实际应用。

        众多研究聚焦于从多组分前驱体制备高级碳材料,并通过多种策略调控其微观结构,以增强非晶碳在钠离子电池(SIBs)中的适用性。然而,当前的方法在实现成本效益、高效性和大规模合成的协同目标方面仍面临重大挑战,这阻碍了钠离子全电池的商业化进程。在综合电化学性能方面,大多数报道的非晶碳材料未达到商业应用标准——包括容量、倍率性能和循环稳定性在内的关键指标仍有待实现全面突破。因此,开发集高性能与经济可行性于一体的非晶碳负极材料,仍是推动钠离子电池技术走向实际应用的核心瓶颈。

        无烟煤是一种储量丰富且地理分布广泛的固体化石燃料,因其出色的成本效益而受到学术界的广泛关注,并作为功能性碳材料合成的重要前驱体。具体而言,无烟煤以其极高的碳含量和极低的灰分含量而著称,是钠离子电池(SIBs)中碳材料的理想前驱体。然而,其分子结构中高度缩合的多环芳烃会产生具有微晶有序性和窄层间距的碳化产物。这种结构严重阻碍了可逆的钠离子嵌入/脱出,从而限制了使用此类材料的钠离子电池的商业可行性。更为关键的是,无烟煤本身缺乏活性缺陷位点。其分子结构使得微晶结构的调控和改性变得困难,从而阻碍了缺陷工程以增强钠存储。因此,虽然无烟煤作为碳前驱体具有一定的优势,但其固有的结构特性需要创新且经济的策略来克服这些内在障碍,才能使其在钠离子电池中得到有效利用。

        2成果简介 

        针对上述问题,四川大学王延青特聘研究员课题组在国际知名期刊Carbon发表题为“Transient NaCl Templating for Defect Engineered Anthracite Derived Hard Carbon Anodes in High Performance Sodium Ion Batteries”研究论文,提出了以廉价且环保的氯化钠晶体作为瞬态结构模板,沥青作为柔性碳网络框架与无烟煤协同构建长程离子晶体缺陷域这一方法,来优化基于无烟煤的碳阳极钠离子电池材料。

        本研究提出使用廉价且环保的氯化钠(NaCl)晶体作为瞬态结构引导剂,以沥青作为柔性碳网络框架,与无烟煤协同构建长程离子晶体缺陷域。具体而言,沥青软化并热解形成三维连续碳网络,为无烟煤的内部结构提供初始增强和连接。NaCl经历独特的“固-液-气”三相动态演变:在加热过程中,固态NaCl晶体作为刚性模板,定义了初始缺陷位点的空间排列。当达到其熔点时,NaCl转化为包裹基质颗粒的瞬态液相,其中毛细作用力和表面张力能够原位调节颗粒重排。同时,部分溶解和传质促进了颈部生长和框架增强。最后,NaCl在高温下完全挥发,留下高度可控的规则缺陷域,有效拓宽了微晶产品的层间距。所制备的阳极材料表现出高可逆容量(在0.1 A g?1下为360 mA·h g?1)和优异的倍率性能(在5.0 A g?1下为152 mA·h g?1)。至关重要的是,通过结合非原位表征和密度泛函理论(DFT)计算,系统地阐明了Na?的储存机制。鉴于NaCl模板的可回收性和无烟煤前驱体高达86.7%的碳化收率,这种性能优化的基于无烟煤的碳阳极有望加速钠离子电池(SIBs)技术的商业化。

        3本文要点 

        一、核心策略:NaCl瞬态模板化的缺陷工程

        


        图1. (a) 硬碳中NaCl辅助缺陷调控的示意图。扫描电子显微镜(SEM)图像:(b-d) Na1、Na1.5、Na2。高分辨率透射电子显微镜(HRTEM)图像:(e-g) Na1、Na1.5、Na2。

        在稀盐酸浸泡过夜后用去离子水冲洗处理初始无烟煤原料,研究采用固相研磨 + 管式炉高温处理的可扩展制备方法,以无烟煤为碳前驱体,沥青为柔性碳网络构建单元,氯化钠(NaCl)作为瞬态结构导向剂,通过调控 NaCl 与无烟煤的质量比,制备出系列硬碳样品(Na0、Na1、Na1.5、Na2 等),其中 Na1.5(NaCl / 无烟煤质量比 1.5)为最优样品。

        NaCl 在碳化过程中发生独特的 “固-液-气” 三相动态演变,实现对硬碳结构的精准调控:

        固态 NaCl 作为刚性模板,定义初始缺陷位点的空间排列;

        熔融后形成瞬态液相,通过毛细作用力和表面张力原位调节颗粒重排,促进颈部生长与框架增强;

        高温下完全挥发,留下高度可控的规则缺陷域,同时钠蒸汽嵌入碳层间引发晶格膨胀,有效拓宽微晶层间距。

        沥青则在热解过程中形成三维连续碳网络,为无烟煤内部结构提供增强与连接,与 NaCl 的模板作用协同,构建出兼具有序微晶区域和可控孔隙率的复合结构。相比之下,无 NaCl 的 Na0 为高度无序的乱层结构,过量 NaCl 则会破坏碳层堆叠、降低结晶度,均无法实现优异性能。

        二、结构表征:缺陷丰富、层间距优化,化学状态达最佳平衡



        图2:(a) X射线衍射(XRD)图谱。(b) 拉曼光谱。(c) X射线光电子能谱(XPS)全谱图。(d-f) Na1、Na1.5和Na2电极的C 1s XPS谱图。(g-i) Na1、Na1.5和Na2电极的O 1s XPS谱图。

        通过扫描电子显微镜(SEM)、高分辨率透射电子显微镜(HRTEM)、X 射线衍射(XRD)、拉曼光谱、X 射线光电子能谱(XPS)等表征手段,证实了 Na1.5 样品的最优结构特征:

        1、微观形貌:Na1.5 颗粒轮廓清晰、表面粗糙多孔,微晶域分布均匀且密度高,形成分级孔网络;

        2、晶型与缺陷:Na1.5 的 d002 层间距达 0.388 nm(系列最大),ID/IG值为 1.08(样品最高),表明层间距显著拓宽、缺陷位点丰富,且电导率良好;

        3、表面化学状态:Na1.5 的C –O官能团分布最优,C–O–C 亲水性基团占比高,能提升电解质润湿性、促进界面离子传输;–O–C=O 和–O–R 比例适中,利于形成稳定的固体电解质界面(SEI),在保持结构稳定性的同时协同增强电极动力学。

        而对比样品中,Na0 官能团单一,Na2 及以上样品则存在氧化基团过量或亲水性基团不足的问题,均会减少电化学活性位点、增加界面电阻。

        三、电化学性能:高容量、高倍率、长循环,全电池展现实用价值

        


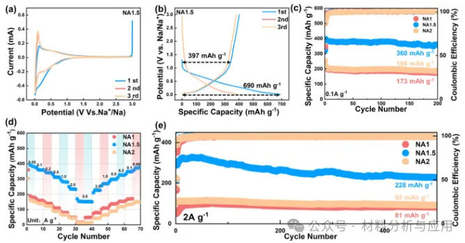
        图3. (a) Na1.5的循环伏安曲线。 (b) Na1.5的初始充放电曲线。 (c) Na1.5在0.1 A g-1下的循环性能。 (d) Na1.5的倍率性能。 (e) Na1.5在2.0 A g-1下的循环性能。

        


        图4. (a) 全电池配置的示意图。(b) 恒流放电(GCD)曲线。(c) Na1.5//NVP全电池的循环性能。(d) Na1.5//NVP全电池的倍率性能。(e) 全电池装置展示。

        电化学测试结果表明,经 NaCl 瞬态模板化优化的 Na1.5 硬碳阳极,展现出远超对比样品的储钠性能,核心指标表现优异:

        高可逆容量与循环稳定性:0.1 A g?1 下可逆容量达 360 mA?h g?1,首次放电容量 650 mA?h g?1,200 次循环后容量保持率 91%;2.0 A g?1 高电流密度下,500 次循环后容量仍达 228 mA?h g?1,每圈衰减率低至 0.14%,库伦效率接近 100%;

        优异倍率性能:5.0 A g?1 大电流下,容量仍保持 152 mA?h g?1,展现出快速的离子传输能力;

        优异的电化学动力学:0.2 mV s?1 扫描速率下电容贡献率 69%,1.0 mV s?1 时提升至 85%,赝电容主导的储钠机制实现快速电荷响应;GITT 测试表明,其 Na?扩散系数在全电位窗口内均显著高于其他样品,连续的离子传输途径保障了快速钠迁移。

        为验证实际应用价值,研究组装了Na1.5//Na?V?(PO?)?(NVP)全电池,该全电池在 0.1 A g?1 下可逆容量达 129 mA?h g?1,200 次循环后仍保持 62.4 mA?h g?1,0.5 A g?1 下倍率容量为 89.5 mA?h g?1,且能稳定点亮显示 “SCU” 的 LED 阵列,证实了其在实际钠离子存储系统中的可行性。

        四、储钠机制:缺陷介导吸附 + 赝电容主导,电子结构优化

        


        图5. (a) 在0.2至1.0 mV s?1的不同扫描速率下的循环伏安(CV)曲线。 (b) NA1.5在不同扫描速率下的电容贡献。 (c) 放电过程中的Na+扩散系数。 (d) NA1.5电极在不同电压下的非原位拉曼光谱。 (e-f) Na0和NA1.5的吸附能。 (g) 局部电子强度曲线。 (h-i) Na0和NA1.5的微分电荷密度图。

        结合非原位拉曼光谱和密度泛函理论(DFT)计算,研究系统阐明了 Na1.5 的储钠机制:

        放电过程中 G 带无分裂,表明高容量并非源于 Na?嵌入石墨域,而是主要由材料中大量缺陷相关的赝电容贡献,Na?储存以杂原子位点吸附和结构缺陷储存为主;

        DFT 计算显示,Na1.5 对 Na?的吸附能达 - 7.97 eV,远高于 Na0 的 - 5.63 eV,NaCl 模板引入的缺陷显著增强了对 Na?的吸附能力;

        电荷密度分析表明,Na1.5 的电子密度更离域、电荷分布更均匀,有效缓解了 Na0 中存在的电子局域化问题,促进了电荷传输与离子迁移率提升。

        4小结与展望 

        总之,作者开发了一种可扩展的瞬态模板策略,使用NaCl将无烟煤衍生的硬碳转化为钠离子电池的高性能阳极。优化后的材料呈现出富含缺陷的分层多孔结构,层间距扩大,具有高可逆容量(360 mAh g?10.1?A g?1),出色的倍率性能(152 mAh g?15.0?A g?1)和长期循环稳定性。机理研究表明,钠的储存主要由缺陷介导的吸附和表面控制的假电容主导,并得到增强的离子传输动力学的支持。当在全电池中配置时,阳极表现出实际可行性,强调了这种绿色、成本效益高的方法将SIB技术推向现实应用的前景。

        文献: